New iron (III)-complexing metabolites have been isolated, purified and structurally elucidated in cooperation with microbiologists (H. Zähner and G. Winkelmann). Different metal complexes of carboxylate siderophores were prepared and spectroscopically investigated. Derivatization and 3H-labeling allowed receptor and transport investigations. 3D-Structures were determined on gallium complexes. A representative set of siderophores is available (EMC microcollections).

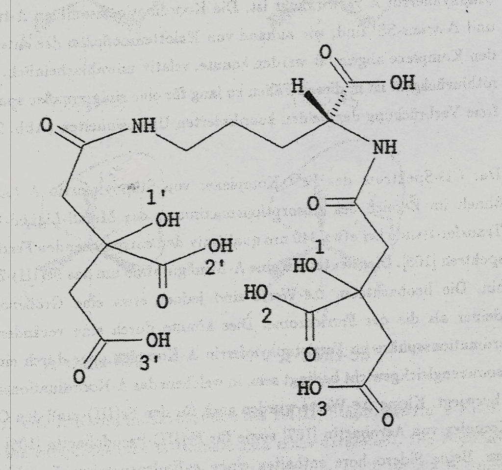
Siderophore Staphyloferrin A
S. Konetschny-Rapp, G. Jung, J. Meiwes, and H. Zähner (1990). Staphyloferrin A: A Structurally New Siderophore from Staphylococci, Eur. J. Biochem. 191, 65-74.
S. Konetschny-Rapp, G. Jung, K. N. Raymond, J. Meiwes, and H. Zähner (1992).
Solution Thermodynamics of the Ferric Complexes of New Desferrioxamine Si-
derophores Obtained by Directed Fermentation, J. Am. Chem. Soc. 114, 529-534.
H. Drechsel, G. Jung, and G. Winkelmann (1992). Stereochemical Characterization of Rhizoferrin and Identification of its Dehydration Products, Biometals 5,141-148.
H. Stephan, S. Freund, J.-M. Meyer, G. Winkelmann, and G. Jung (1993). Structure Elucidation of the Gallium-Ornibactin Complex by 2D-NMR Spectroscopy, Liebigs Ann. Chem. 1993, 43-48.
H. Drechsel, S. Freund, G. Nicholson, H. Haag, O. Jung, H. Zähner, and G. Jung (1993).
Purification and Chemical Characterization of Staphyloferrin B, a Hydrophilic
Siderophore from Staphylococci, BioMetals 6, 185-192.
G. Winkelmann, A. Cansier, W. Beck, and G. Jung (1994). HPLC Separation of Enterobactin and Linear 2,3-Dihydroxybenzylserine Derivatives: A Study on Mutants of Escherichia coli Defective in Regulation (fur), Esterase (fes) and Transport (fep A), BioMetals 7, 149-154.
H. Drechsel, M. Tschierske, A. Thieken, G. Jung, H. Zähner, and G. Winkelmann (1995). The Carboxylate Type Siderophore Rizoferrin and its Analogs Produced by Directed Fermentation, J. Industrial Microbiol. 14, 105-112.